皮肤炎症核心表现为 “红、肿、热、痛、痒” 五大信号
基础症状:发红、肿胀、发热,部分伴刺痛或灼痛。
瘙痒:程度从轻微到剧烈不等,常留抓痕。
皮肤异常:干燥脱屑、起丘疹、水疱,严重时渗液、结痂、糜烂甚至溃疡。

有效管理炎症不仅能改善当下的肌肤问题,更是预防未来问题、延缓衰老的关键。通过了解炎症的成因和表现,我们可以更有针对性地选择护肤成分和生活方式,从根源守护肌肤健康。
高效灭火:即时舒缓泛红刺痛
肌肤突发泛红、刺痛时,需快速介入镇静。选用主打抗炎舒缓功效的护肤品,针对性缓解不适,快速平复肌肤应激反应。
屏障修护:重建肌肤防护墙
炎症会破坏肌肤天然保护屏障,导致锁水能力下降。使用专注屏障修复的产品,帮助重建肌肤保护层,恢复自身抵御外界刺激的能力。
日常维稳:长期坚持筑牢基础
抗炎不是临时补救,需长期做好日常养护。选择温和无刺激的护肤品,搭配规律作息与健康饮食,由内而外维持肌肤稳定状态。
科学配比:多效协同全面防护
有效的抗炎需要多维功效配合。选择同时具备抗炎、保湿、修复三重作用的产品,构建全方位防护体系,从根源减少炎症反复。

针对抗炎的问题,今天要为大家介绍一款真正有效的抗炎成分——Hony D001。它能够舒缓肌肤炎症,帮助改善泛红、刺痛等敏感问题,让肌肤重获健康状态。
接下来,让我们一起了解这个明星成分的卓越功效吧!
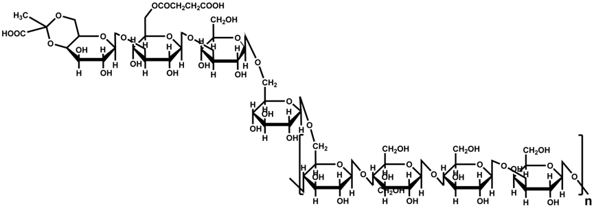
Hony D001是一种多糖类化合物,由琥珀酰基和糖基通过酯键连接而成。其分子链中含有大量的琥珀酰基团,这些基团赋予了琥珀酰聚糖独特的化学和物理性质。

Hony D001:一种新的特殊的抗炎活性的琥珀酰聚糖拥有国家发明专利,土壤杆菌及其所产抗炎症反应胞外多糖
Hony D001的化学结构式

Hony D001源自天然多糖这一结构高度多样化的生物大分子聚合物。多糖由单糖单元通过糖苷键精密连接而成,部分更可与肽、氨基酸或脂质结合,形成复杂的糖残基组合,奠定了其卓越的生物活性基础。

1、天然来源,皮肤相容性好
2、工业发酵生产,质量可控
3、功能多样化,效果显著
4、作用机制清楚
5、与其他原料配伍性优良
6、生物安全性高
无论是环境刺激还是肌肤损伤,Hony D001都能针对性发挥抗炎修护作用,适配多种日常需求。

01 晒后炎症急救
紫外线照射会引发皮肤红斑、表皮增厚和胶原流失,Hony D001可通过抗炎活性减轻晒伤反应,同时减少黑色素生成,缓解晒后暗沉泛红。
02 敏感肌维稳
对特应性皮炎等炎症相关肌肤问题,能降低皮肤炎症因子水平,改善屏障功能,减少红肿、瘙痒等不适,长期使用可降低肌肤敏感度。
03 损伤修复辅助
在伤口愈合过程中,其抗炎功效可减少炎症对组织修复的干扰,同时搭配保湿特性,为肌肤修复创造良好环境,加速受损肌肤恢复。
Hony D001降低皮肤细胞的炎症反应

Hony D001抑制巨噬细胞的炎症反应


Hony D001兼具安全性高与抗炎效果显著的双重优势,在护肤品应用中既能有效舒缓肌肤炎症,又不会对细胞造成损伤,是一款理想的功能性护肤成分。
一款面膜特别添加5%高浓度Hony D001。经真实受试者测试,使用前眼周与颈部肌肤明显泛红、伴有肿胀刺痛,敷后泛红面积减少76%,肿胀与刺痛感下降82%
实验数据证实,Hony D001能快速渗透肌底,同步舒缓泛红、肿胀、刺痛等多重炎症症状,为敏感肌肤提供科学、高效的修护方案。
五、Hony D001应用方向
Hony D001作为专利抗炎成分,现已应用于护肤以及洗护产品。
面部护理
√ 洁面乳:温和清洁,预防洁后泛红
√ 精华液:正确舒缓,快速改善泛红
√ 面膜:密集修护,提升屏障功能
√ 面霜:持久保湿,建立防护网络
个人护理
√ 洗发水:舒缓头皮炎症,改善毛囊环境
√ 沐浴露:缓解身体痘痘与敏感问题
√ 身体乳:修护肌肤屏障,持久保湿
【立即体验】Hony D001新品现已上市
【关注我们】获取更多专业产品知识